
রেস্ট ম্যাস বা স্থির অবস্থার ভর
বস্তু পর্যবেক্ষকের সাপেক্ষে স্থির অবস্থায় তার যে ভর পাওয়া যায় তাই স্থির অবস্থার ভর বা রেস্ট ম্যাস আর এটিই বস্তুর সর্বনিম্ন ভর।
ভরের আপেক্ষিকতা
বস্তু পর্যবেক্ষকের সাপেক্ষে গতিশীল অবস্থায় থাকলে তার ভর বৃদ্ধি পাওয়ার যে ঘটনার কথা উল্লেখ করেছি তাই ভরের আপেক্ষিকতা নামে পরিচিত। গতিশীল বস্তুর ভর বাড়লেও ভর বৃদ্ধির পরিমাণ খুব নগণ্য হওয়ায় আমরা তা অনুভব করি না। বস্তুর বেগ আলোর বেগের সাথে তুলনীয় হলেই কেবল উল্লেখযোগ্য পরিমাণে ভর বৃদ্ধি পায়। প্রকৃতপক্ষে পর্যবেক্ষকের সাপেক্ষে বস্তুর বেগ আলোর বেগের ১০% না হলে ভর পরিবর্তনের বিষয়টি নজরে আসা কঠিন।
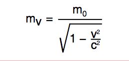
ভর পরিবর্তনের ঘটনাটি নিচের সমীকরণটির মাধ্যমে নির্ধারিত হয়:
এখানে,
v = বস্তুর বেগ
c = আলোর বেগ
mv = v বেগে চলন্ত অবস্থায় বস্তুর ভর
m0 = স্থির অবস্থায় বস্তুর ভর
ভরের আপেক্ষিকতার এ সমীকরণ অনুযায়ী বস্তুর বেগ শূন্য হলে সমীকরণের নিচের রাশির মান (1-v2/c2) হয় 1 । এ অবস্থায় mv = m0।
বেগ v বাড়তে থাকলে সমীরণের নীচের রাশিটির মান 1 এর চেয়ে কমে যায়। ফলে mv এর মান m0 এর চেয়ে বেশি হয়। বস্তুর বগ v বাড়তে থাকলে mv বাড়তে থাকে আর বেগ আলোর বেগের সমান হলে নিচের রাশিটির মান শূন্যে পৌঁছায় তখন তাত্ত্বিকভাবে বস্তুর ভর অসীম হয়। আলোর বেগ সেকেন্ডে ১,৮৬,০০০ মাইল। বাস, ট্রেন, উড়োজাহাজ কোন কিছুই এত বেশি বেগে চলতে পারে না যে আপেক্ষিক তত্ত্ব অনুযায়ী সেগুলোর ভর লক্ষণীয়ভাবে বাড়বে। তবে কণাত্বরক যন্ত্রে (particle accelerator) ইলেকট্রন, প্রোটনের মত কণিকাকে প্রচণ্ড বেগে চালিত করার সময় সেগুলোর ভর বৃদ্ধির বিষয়টি নিশ্চিত করা গেছে। পুরনো দিনের টেলিভিশন বা কম্পিউটার মনিটরের পিকচার টিউবে প্রচণ্ড বেগে ইলেকট্রনকে পর্দার ওপর ছুঁড়ে দেয়ার সময় সেগুলোর ভর বৃদ্ধি পায় আর সেটি বিবেচনায় রেখেই টেলিভিশনের পিকচার টিউব তৈরি করা হয়।













